Экзаменационные билеты, вопросы и задачи по курсу высшей математики для студентов 1 курса (1 и 2 учебный семестр) и 2 курса (3 и 4 семестр) очной и заочной форм обучения технических и гуманитарных специальностей ВУЗов.
Допуск к экзамену получают учащиеся, выполнившие и сдавшие все контрольные и расчетные работы, предусмотренные учебным планом кафедры математики.
Для успешной сдачи экзамена необходимо выполнить 60 или более процентов заданий указанных в билете, решив минимум одну задачу.
Ответы на теоретические вопросы экзамена должны включать точные определения и основные положения рассматриваемой темы с выводами соответствующих формул.
Если Вам требуется помощь в решении задач, наши специалисты готовы ответить на все вопросы по математике.
Экзаменационный билет по высшей математике
Билет для сдачи экзамена по высшей математике включает решение задач и ответы на вопросы по темам, изучавшимся в пройденном учебном семестре, и может содержать от трех до 5, а в некоторых случаях и до 10 пунктов.
Например, в билете могут быть три теоретических вопроса и две задачи, либо задание в виде теста.
Пример экзаменационного билета
Примерный билет содержит задачи и вопросы по разделам высшей математики:
1. Определители. Свойства определителей.
2. Угол между векторами. Проекция вектора на ось.
3. Векторное произведение двух векторов и его свойства.
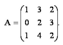
4. Найти обратную матрицу A-1, если:

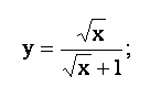
5. Вычислить неопределенный интеграл

Вопросы к экзаменам по математике
Примерный перечень экзаменационных вопросов по теории курса высшей математики, включаемых в билет:
Раздел матрицы и векторы
- Матрицы. Виды матриц. Действия над матрицами.
- Алгебраические дополнения и миноры.
- Вычисление определителей методом треугольников и разложением по элементам строки или столбца.
- Невырожденная матрица. Обратная матрица. Нахождение обратной матрицы.
- Матричный метод решения систем линейных уравнений. Формулы Крамера.
- Метод Гаусса решения систем алгебраических линейных уравнений.
- Действия над векторами.
- Линейная зависимость и независимость векторов.
- Векторный базис. Координаты вектора.
- Прямоугольная декартова система координат. Деление отрезка в заданном отношении. Определение расстояния между точками.
- Скалярное произведение двух векторов и его свойства.
- Смешанное произведение трех векторов и его свойства.
Неопределённый интеграл
- Первообразная функция и неопределенный интеграл.
- Простейшие свойства неопределенного интеграла и его геометрический смысл.
- Интегрирование методом разложения и методом замены переменной.
- Метод интегрирования по частям.
- Интегрирование простейших дробей.
- Интегрирование дробно-рациональной функции.
- Интегрирование тригонометрических функций.
- Интегрирование иррациональных функций.
Определённый интеграл
- Определение определенного интеграла. Свойства определенного интеграла.
- Определенный интеграл с переменным верхним пределом интегрирования. Формула Ньютона-Лейбница.
- Замена переменной и интегрирование по частям в определенном интеграле.
- Несобственные интегралы с бесконечными пределами интегрирования и от неограниченных функций.
- Геометрические приложения определенного интеграла. Вычисление площадей фигур в декартовых и полярных координатах.
- Длина дуги плоской кривой в декартовых и полярных координатах, объем тела вращения.
- Решение физических задач с помощью определенных интегралов.
Кратные интегралы
- Определение двойного интеграла. Его геометрический смысл
- Свойства двойного интеграла
- Понятие о правильных областях. Двукратный интеграл
- Сведение двойного интеграла к двукратному
- Замена переменных в двойном интеграле. Вычисление двойного интеграла полярных координатах
- Вычисление объемов тел и площадей плоских областей
- Задачи механики
- Определение тройного интеграла. Его механический смысл. Свойства
- Вычисление тройного интеграла
- Вычисление тройного интеграла в декартовых координатах
- Замена переменных в тройном интеграле. Тройной интеграл в цилиндрических и сферических координатах
- Приложения тройных интегралов к задачам геометрии и механики
- Вычисление объемов тел
- Задачи механики
Криволинейные и поверхностные интегралы
- Криволинейные интегралы первого рода (или по длине дуги)
- Определение и физический смысл криволинейного интеграла первого рода. Свойства
- Вычисление криволинейного интеграла первого рода
- Криволинейный интеграл для пространственного случая
- Некоторые применения криволинейного интеграла первого рода
- Криволинейный интеграл второго рода (или по координатам)
- Задача о работе силового поля. Определение криволинейного интеграла второго рода
- Существование и вычисление криволинейного интеграла второго рода
- Связь между криволинейными интегралами первого и второго рода
- Формула Грина
- Условия независимости интеграла от пути интегрирования
- Поверхностный интеграл первого рода (или по площади поверхности). Теорема существования
- Вычисление поверхностного интеграла первого рода
- Некоторые применения поверхностного интеграла первого рода
- Поверхностный интеграл второго рода или по координатам. Физический смысл
- Применение поверхностного интеграла второго рода
Экзаменационные задачи по математике
Примеры экзаменационных задач по курсу высшей математики, которые могут быть включены в билет для сдачи экзамена:
1. Решить систему уравнений методом Гаусса

2. Используя признаки сходимости несобственных интегралов, исследовать на сходимость

3. Применяя основные правила дифференцирования, найти производную функции

Ответы на экзаменационные вопросы по математике
Ответы на некоторые теоретические вопросы в экзаменационных билетах по высшей математике:
- Однородные функции, однородные дифференциальные уравнения
- Линейное дифференциальное уравнение первого порядка
- Уравнение Бернулли
- Уравнение в полных дифференциалах
- Интегрирующий множитель
- Дифференциальные уравнения высших порядков. Задача Коши
- Числовые ряды. Основные понятия
- Ряд геометрической прогрессии со знаменателем
- Остаток ряда
- Свойства, сходящихся числовых рядов
- Необходимый признак сходимости числового ряда
- Признак сравнения рядов с неотрицательными членами
- Признак Даламбера
- Признак Коши
Другие ответы можно найти, воспользовавшись поиском на нашем сайте.
Наш коллектив математиков желает Вам успешной подготовки и сдачи экзамена, и в случае необходимости готов оказать студентам всю необходимую помощь.